家谱世系

《湖南袁氏始迁祖》系列之九:望城黄沙港袁志荣

时间:2023-11-10 15:49:18   作者:袁家荣整理   来源:袁氏图书馆   阅读:113   评论:0
内容摘要:【尊奉始祖】袁安【始迁之祖】袁志荣【开基之地】益阳桃花港、望城中珠洲【分房支祖】传三代分为六大房:西岸万宪房、柳林万宣房、杲山万实房、东岸万湖房、南湾万定房、湘江万甯房。【迁徙时间】明洪武十五年(1382)由江西丰城迁垦湖南益阳县桃花港,二十五年(1392)复迁长沙县新康镇之格塘......

【尊奉始祖】袁安
【始迁之祖】袁志荣
【开基之地】益阳桃花港、望城中珠洲
【分房支祖】传三代分为六大房:西岸万宪房、柳林万宣房、杲山万实房、东岸万湖房、南湾万定房、湘江万甯房。
【迁徙时间】明洪武十五年(1382)由江西丰城迁垦湖南益阳县桃花港,二十五年(1392)复迁长沙县新康镇之格塘中珠洲(黄沙港)。
郡望堂号】汝南堂

【字辈排行】仕之铭泰常,先泽允书长,忠孝光家国,文明继世昌,见冰思祖德,倚骥显华章,福禄延年久,威仪震远邦,南朝多俊杰,阳夏集贤良,青简标功业,紫薇照瑞祥。

图片

【祠庙堂所】总祠设长沙市西长街。格塘袁家山置有公屋。

【祖墓葬地】格塘铁山岭

【修谱概况】清乾隆二十一年(1756)、嘉庆二十一年(1816)、咸丰十年(1860)、光绪十六年(1890)、1917年、1948年纂修族谱,2009年六续族谱。

【族中名人】

【世系源流】始迁祖志荣公,字世华,号汝衮,元至正23年癸卯生,寿92岁,葬格塘中珠洲。配高氏,生三子:贵昌、贵昂、贵鼎。

贵昌生超雄,超雄子一万宪,发西岸万宪长房;

贵昂止;

贵鼎配程氏生一女适刘,再配唐氏生子六:超松、超柏、超旺、超槐、超魁、超兴。超松止。

超柏生万宣、万实,发柳林万宣房、杲山万实房,

超旺生万湖,发东岸万湖房,

超槐止。

超魁生万定,发南湾万定房,

超兴生万甯,发湘江万甯房。

各房下又有分支。至1948年,已传19代,共7000馀人。

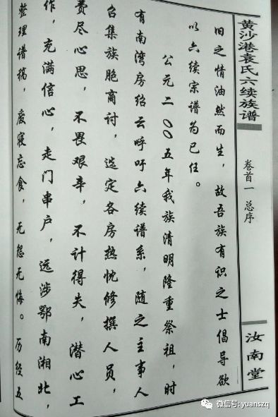
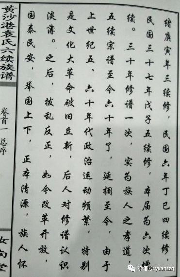
【谱序选录】

图片

图片

图片

图片

图片


相关评论
该网站为袁氏宗亲服务平台,可以注册会员自行提交。网站内容部分资料来源于网络,如有侵权,请联系删除。  鄂公网安备35010302000113号  鄂ICP备12010382号
Powered by OTCMS V7.00